
Projetar um sistema de geração de energia solar não envolve apenas reunir componentes; trata-se de criar uma configuração equilibrada e eficiente que atenda às suas necessidades energéticas específicas. Este guia orienta você nas principais etapas, garantindo que você tenha uma compreensão abrangente de cada aspecto.
1. Seleção de componentes do sistema solar fotovoltaico
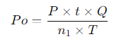
Cálculo de energia do painel solar:
A energia gerada pelos painéis solares é a espinha dorsal do seu sistema. Para garantir a geração de eletricidade suficiente, você precisa calcular a potência necessária do painel solar (Po). A fórmula para este cálculo é:

Onde:
P (Load Power): O consumo total de energia de todos os dispositivos conectados (em watts). Isso inclui aparelhos como luzes, geladeiras e condicionadores de ar.
t (Tempo de uso): quanto tempo esses dispositivos funcionam diariamente (em horas).
n1 (Eficiência): Eficiência de conversão do sistema, normalmente em torno de 85%. Isso leva em conta as perdas de energia durante a conversão de CC para CA.
T (Horas de luz solar): O número médio de horas de pico de luz solar em sua localização. Isto é crucial, pois varia significativamente de acordo com a geografia.
Q (fator climático): um fator que leva em conta condições climáticas abaixo do ideal, como dias nublados ou chuvosos. Geralmente está entre 1,2 e 2, dependendo do clima.
Por que é importante: O cálculo preciso da potência do painel solar é crucial. Subestimar pode levar a uma produção de energia insuficiente, enquanto sobrestimar pode aumentar os custos desnecessariamente. Em regiões com clima imprevisível, a escolha de um valor Q mais alto garante confiabilidade.
Exemplo: Se você estiver em Guangzhou, China, e sua carga diária for de 5 kW com 4 horas de operação, e escolher um fator Q de 1,5, você precisaria de cerca de 9.437 W de painéis solares para garantir uma geração de energia consistente.
2. Cálculo da capacidade da bateria
A bateria é o coração do seu sistema solar, armazenando energia para uso quando o sol não está brilhando. Calcular a capacidade correta da bateria (C) envolve:

Onde:
C (Capacidade): A capacidade necessária da bateria em amperes-hora (Ah).
V (Tensão): A tensão do sistema, geralmente 12V, 24V ou 48V, dependendo da sua configuração.
K (Coeficiente de Descarga): Reflete a profundidade da descarga, a eficiência da bateria e os fatores ambientais. Normalmente varia de 0,4 a 0,7. Valores mais altos significam descargas mais profundas e baterias menores, mas à custa da vida útil da bateria.
Insight principal: A escolha da capacidade da bateria é um equilíbrio entre custo e confiabilidade. Embora baterias maiores ofereçam mais backup durante o mau tempo, elas aumentam o custo do sistema. É importante encontrar um meio-termo com base em suas necessidades e orçamento específicos.
Exemplo: Para um sistema com carga de 5kW e um único dia de tempo nublado, você pode calcular a necessidade de uma bateria com capacidade de cerca de 200Ah a 48V, assumindo um coeficiente de descarga de 0,5 e uma eficiência do inversor de 0,9.
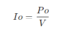
3. Seleção do controlador de carga solar
O controlador de carregamento solar regula a tensão e a corrente dos painéis solares para as baterias, evitando sobrecargas. Para selecionar o controlador correto:

Onde:
Io (corrente do controlador): A classificação de corrente necessária para o controlador (em amperes).
V (Tensão): A tensão do sistema, correspondente à tensão da bateria.
Consideração importante: Em regiões com altitudes elevadas, a intensidade da luz solar pode ser maior, excedendo potencialmente a capacidade do controlador. Nesses casos, é aconselhável selecionar um controlador com uma corrente nominal mais alta para garantir durabilidade a longo prazo.
Dica de integração: Os sistemas modernos geralmente combinam o controlador de carregamento com o inversor, simplificando o processo de instalação. No entanto, certifique-se de que a unidade combinada atenda a todas as suas necessidades de energia.
4. Seleção do Inversor
O inversor converte a energia CC dos painéis solares ou baterias em energia CA para eletrodomésticos. A seleção adequada do inversor (Pn) envolve:

Onde:
Pn (Capacidade do Inversor): A capacidade do inversor em VA.
CosX (fator de potência): Normalmente em torno de 0,8, refletindo a eficiência da conversão de energia CA.
Q (Margem de Segurança): Um fator a ser considerado para surtos de partida, especialmente com cargas indutivas como motores e compressores. Isso normalmente fica entre 1,1 e 1,3.
Por que é crucial: A escolha de um inversor com capacidade insuficiente pode levar a falhas do sistema, especialmente ao lidar com cargas indutivas como aparelhos de ar condicionado ou bombas. Sempre considere uma margem de segurança para acomodar esses picos.
Exemplo: Para um ar condicionado de 1,3 kW, considerando um pico de 3x para carga indutiva e uma margem de segurança de 1,1, a capacidade necessária do inversor seria de cerca de 5,36 kW.
5. Configuração do sistema
Reunindo todos esses cálculos, você pode configurar um sistema que atenda às suas necessidades específicas.
Exemplo de configuração:
Localização: Abuja, com uma média de 5,45 horas de luz solar por dia.
Potência total de carga: 1965W, incluindo carga indutiva (ar condicionado).
Armazenamento de Energia: 15.635Wh, suficiente para pelo menos um dia de backup.
Tipo de sistema: Fora da rede, sem dependência de fontes de energia externas, como gerador ou rede.
Tipo de bateria: íon de lítio, preferida por sua longa vida útil e capacidade de descarga profunda.
Visão Prática: Esta configuração é ideal para locais com luz solar consistente e infraestrutura mínima, garantindo uma fonte de alimentação confiável mesmo durante períodos nublados.

6. Diagrama de fiação do sistema
A etapa final é criar um diagrama de fiação detalhado. Isto deve mostrar claramente as conexões entre os painéis solares, baterias, inversor, controlador de carregamento e cargas. Um diagrama elétrico bem desenhado é essencial tanto para a instalação quanto para a manutenção do sistema, garantindo que todos os componentes estejam devidamente conectados e protegidos.
Por que é importante: Um diagrama de fiação claro minimiza erros de instalação que podem causar ineficiências ou até mesmo falhas no sistema. Ele também serve como uma referência valiosa para solução de problemas e atualizações futuras.
Se você precisa de um projeto para aplicação residencial, comercial ou industrial, entre em contato conosco pelo e-mail www.suness.com e podemos ajudá-lo a projetar seu sistema de armazenamento de energia gratuitamente!